42 simplify exponential expressions worksheet

Simplifying Exponents of Variables Worksheet - Wyzant Lessons Simplifying Expressions Calculator; Algebra Lessons List; Algebra Worksheets List; Associative Property of Addition and Multiplication; ... Simplifying Exponents of Variables Worksheet; Variables With Negative Exponents Worksheet. Simplify the negative exponents in each problem. Simplifying Exponential Expressions Worksheet - onlinemath4all Answer (1) : = a 4 ⋅ b 5 ⋅ a 2 Group powers with the same base together. = (a 4 ⋅ a 2 ) ⋅ b 5 Add the exponents of powers with the same base. = a 4 + 2 ⋅ b 5 = a 6 ⋅ b 5 Answer (2) : = x 2 ⋅ x ⋅ x -4 Because the powers have the same base, keep the base and add the exponents. = x 2 + 1 + (-4) = x 2 + 1 - 4 = x -1 = 1/x Answer (3) : = (y 2) -4 ⋅ y5

Simplifying Exponential Expressions Worksheets Web worksheet by kuta software llc icm simplifying exponential expressions name_____ id: Web simplifying exponential expressions ~ laws of exponents ~ partner activity. To make these types of numbers easy to read and write we use exponents. Using Exponents, The Same Number Can Be. Web exponent properties (integer exponents) quiz 2: Web rewrite ...

Simplify exponential expressions worksheet

Simplify exponential expressions worksheet

Expressions with exponents | Algebra basics | Math | Khan Academy Unit: Expressions with exponents 1,200 Possible mastery points Skill Summary Exponent properties intro Quiz 1: 5 questions Practice what you've learned, and level up on the above skills Negative exponents Exponent properties (integer exponents) Quiz 2: 5 questions Practice what you've learned, and level up on the above skills Simplifying Exponents of Numbers Worksheet - Wyzant Lessons Simplifying Expressions Calculator; Algebra Lessons List; Algebra Worksheets List; Associative Property of Addition and Multiplication; ... Simplifying Exponents of Numbers Worksheet; Exponents of Numbers Worksheet. Simplify the negative exponents in each problem. Checking Your Answers. Free worksheets for simplifying algebraic expressions - Homeschool Math Simplify Expressions Worksheet Generator Columns: Rows: (These determine the number of problems) Include the following types of problems: Combine like terms Multiply monomials (practicing exponents) Distributive property Simplify rational expressions (practicing exponents) Difficulty level

Simplify exponential expressions worksheet. Exponential Expressions Worksheets 50 Simplify Exponential Expressions Worksheet Chessmuseum Template from chessmuseum.org. Test your math vocabulary (part one) worksheet. An exponent refers to the number of times a number is multiplied by itself. Web along with multiplication and division, exponents are one of the most important topics to master in order to understand the ... PDF Simplifying Algebraic Expressions with Exponents - Montgomery College Simplifying Algebraic Expressions with Exponents: How can we simplify algebraic expressions with exponents? That is, something like One approach*would be to break the problem into the following steps: *If you already have an approach that works for you, that's great! Simplifying Exponential Expressions Teaching Resources | TPT Simplifying Exponential Expressions ~ Laws of Exponents ~ Partner Activity. by. Math Maker. 5.0. (7) $1.25. PDF. Great way for students to practice using the laws of exponents. This activity is fun, and holds students accountable for their work because their partner is depending on them. Quiz & Worksheet - Simplifying Exponential Expressions - Study.com This quiz and attached worksheet will help gauge your understanding of the process of simplifying exponential expressions. Topics of the quiz include exponents and powers. Quiz & Worksheet...

PDF Simplifying Rational Exponents - Kuta Software Simplifying Rational Exponents Date_____ Period____ Simplify. 1) (n4) 3 2 n6 2) (27 p6) 5 3 243 p10 3) (25 b6)−1.5 1 125 b9 4) (64 m4) 3 2 512 m6 5) (a8) 3 2 a12 ... Create your own worksheets like this one with Infinite Algebra 2. Free trial available at KutaSoftware.com. Title: Simplifying Rational Exponents PDF Simplifying Exponential Expressions Worksheets | Worksheet 1 1. Simplify the expression: + 2. Simplify : - . 3. Simplify : . 4. Write the following as a single exponent using properties of exponents. 5. Simplify the following and express the answer as an exponent. 6. Simplify the following expression using the properties of exponents. 7. Simplify and express the answer in scientific notation. 8. Simplify ... PDF More Properties of Exponents - Kuta Software ©9 j2S0 X1A2u WKQumtgaC iS zo WfptHwnamrsem 9LuLRC3.D E FAhlDlR 2r wiag jhXtxsn yrAexs 3e HrSvHeId6. w 4 9MdaLd0e6 swci0t9h S cISnzf Xin6ixtPe L yAHlMgRe9bHrda0 d1 K.x Worksheet by Kuta Software LLC Kuta Software - Infinite Algebra 1 Name_____ More Properties of Exponents Date_____ Period____ Simplify. Exponents Worksheets - free & printable | K5 Learning Exponents: Whole numbers as base: 7 3 = Whole numbers as base (harder) 52 4 = Whole numbers, fractions and decimals as base (0.2) = Negative or zero exponents: Negative or zero exponents (whole number bases) 3-1 = Negative or zero exponents (0.8)-2 = Equations with exponents: Write expressions using exponents: 0.6 x 0.6 x 0.6 = Equations with ...

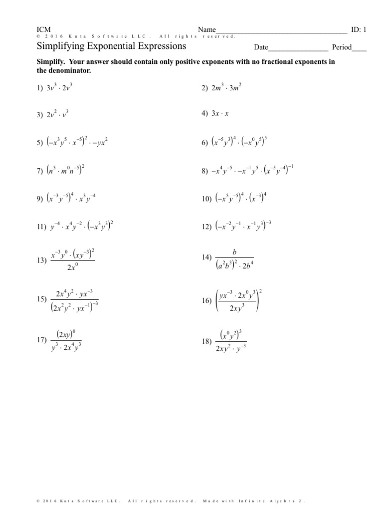
Worksheets: Simplifying Expressions with Exponents - Tutoringhour.com Catnip to self-driven math enthusiasts, our printable simplifying exponential expressions worksheets help master simplification of expressions with positive and negative exponents. Brush up the rules of exponents to readily solve the expressions. A blend of positive and negative exponents, this pdf set has the expressions given in product form ... Simplifying Exponential Expressions Worksheets Simplifying Exponential Expressions Worksheets | Download PDFs for Free Get Started Simplifying Exponential Expressions Worksheets To make these types of numbers easy to read and write we use exponents. Using exponents, the same number can be written as 1496×108m. PDF Simplifying Exponential Expressions - PCHS ICM Worksheet by Kuta Software LLC ICM Simplifying Exponential Expressions Name_____ ID: 1 Date_____ Period____ ©S Z2x0G1N6Y fK]uqtNap NSSo]fBtGw[a_rReU rLMLFCD.N n YAClalq orfiEgPhptrsc mrOeUsCekryvbeJdB. Simplify. Your answer should contain only positive exponents with no fractional exponents in Simplifying exponential expressions worksheet ID: 1667328 Language: English School subject: Algebra 1 Grade/level: 9 Age: 13-17 Main content: Exponential Expressions Other contents: Fractions and Multiplication Add to my workbooks (5) Download file pdf Embed in my website or blog Add to Google Classroom

Exponent Rules Match-Up Activity | Math = Love

Exponent Rules Match-Up Activity | Math = Love

PDF Simplifying Exponential Expressions Date Period Simplifying Exponential Expressions Simplify. Your answer should contain only positive exponents. 1) 4 ⋅ 45 2) 3−1 ⋅ 33 3) (4−4) −2 4) (4−4) 0 5) 35 3 6) 4−5 40 ... .X 9 zAEl slp nrDiIghWtFsx mrBeQsxe Vr9voe rd 1.f h AM8a 1dMek Ww9ijt uhz oI lnbf Gigndi4tjeH UAnlQgte lb Irua 2 e2c. g Worksheet by Kuta Software LLC

Exponents and Radicals Worksheets | Exponents & Radicals ...

Exponents and Radicals Worksheets | Exponents & Radicals ...

Evaluating Numerical Expressions with Exponents Worksheets 3 or 4 Operators and 1 or 2 Exponents Give your simplification skills a rich boost with our evaluating numerical expressions with exponents worksheets! Simplify the exponential notations; divide/multiply; add/subtract to evaluate the expression. Easy Moderate Difficult Exponents and Operations

Simplify Expressions With Exponents - Worksheet

Simplify Expressions With Exponents - Worksheet

Simplifying Algebraic Expression Worksheets - Math Worksheets 4 Kids Simplifying Expressions with Positive Exponents These printable worksheets contain algebraic expressions with positive exponents. Apply the laws of exponents to simplify the expressions. Easy Moderate Expressions with Negative Exponents This batch of worksheets involves negative exponents.

Free exponents worksheets

Free exponents worksheets

Simplify Expressions | Teach Starter Results for ‛Simplify Expressions' 63 teaching resources Simplify Expressions Sort: Relevance . Grades Grade 1 4. Grade 2 5. Grade 3 4. Grade 4 4. Grade 5 34. ... Evaluating Expressions with Exponents - Worksheet. Practice evaluating expressions with exponents with this order of operations worksheet designed for 6th grade. 2 pages Grades : 6

Simplifying Expressions with Exponents (examples, solutions ...

Simplifying Expressions with Exponents (examples, solutions ...

Quiz & Worksheet - Simplifying Expressions with Exponents - Study.com About This Quiz & Worksheet Test your ability to simplify expressions using exponents in this quiz/worksheet combo. You will have five practice problems to solve, and you will need to...

Simplifying Expressions With Exponents Calculator Online, 57 ...

Simplifying Expressions With Exponents Calculator Online, 57 ...

Free exponents worksheets - Homeschool Math Free exponents worksheets Worksheets for powers & exponents, including negative exponents and fractional bases. Choose from simple or more complex expressions involving exponents, or write expressions using an exponent. The worksheets can be made in html or PDF format (both are easy to print). Free worksheets By Grades 1st grade 2nd grade

Simplifying Thirty Exponential Expressions Worksheet for 10th ...

Simplifying Thirty Exponential Expressions Worksheet for 10th ...

Free worksheets for simplifying algebraic expressions - Homeschool Math Simplify Expressions Worksheet Generator Columns: Rows: (These determine the number of problems) Include the following types of problems: Combine like terms Multiply monomials (practicing exponents) Distributive property Simplify rational expressions (practicing exponents) Difficulty level

Exponents Worksheets with Answer Key

Exponents Worksheets with Answer Key

Simplifying Exponents of Numbers Worksheet - Wyzant Lessons Simplifying Expressions Calculator; Algebra Lessons List; Algebra Worksheets List; Associative Property of Addition and Multiplication; ... Simplifying Exponents of Numbers Worksheet; Exponents of Numbers Worksheet. Simplify the negative exponents in each problem. Checking Your Answers.

CA Section 1.2a (Packet #3) - Math with Mr. schwartz

CA Section 1.2a (Packet #3) - Math with Mr. schwartz

Expressions with exponents | Algebra basics | Math | Khan Academy Unit: Expressions with exponents 1,200 Possible mastery points Skill Summary Exponent properties intro Quiz 1: 5 questions Practice what you've learned, and level up on the above skills Negative exponents Exponent properties (integer exponents) Quiz 2: 5 questions Practice what you've learned, and level up on the above skills

Simplifying expressions with exponents | Algebra I | Khan Academy

Simplifying expressions with exponents | Algebra I | Khan Academy

Multiplying Exponents (All Positive) (A)

Multiplying Exponents (All Positive) (A)

49 Simplifying Algebraic Expressions Worksheet Answers ...

49 Simplifying Algebraic Expressions Worksheet Answers ...

Mixed Exponent Rules (All Positive) (A)

Mixed Exponent Rules (All Positive) (A)

Algebra 1 Worksheets | Exponents Worksheets

Algebra 1 Worksheets | Exponents Worksheets

Icm U1d7 Simplifying Exponential Expressions 1 | PDF ...

Icm U1d7 Simplifying Exponential Expressions 1 | PDF ...

Rules of Exponents: Simplifying Exponential Expressions (Doodle-ing Math)

Rules of Exponents: Simplifying Exponential Expressions (Doodle-ing Math)

Simplifying Exponents Worksheets

Simplifying Exponents Worksheets

Quiz & Worksheet - Expressions With Variable Exponents ...

Quiz & Worksheet - Expressions With Variable Exponents ...

Simplifying Expressions with Fractional and Negative Exponents

Simplifying Expressions with Fractional and Negative Exponents

18 Exponent Worksheets For Practice ⭐ Definition, Squares ...

18 Exponent Worksheets For Practice ⭐ Definition, Squares ...

Simplifying Rational Algebraic Expressions Using Laws of Exponents

Simplifying Rational Algebraic Expressions Using Laws of Exponents

How to Simplify exponential expressions in basic algebra ...

How to Simplify exponential expressions in basic algebra ...

Simplifying exponential expressions worksheet

Simplifying exponential expressions worksheet

Exponent Operations Worksheet #1

Exponent Operations Worksheet #1

Simplifying Radicals With Variables, Exponents, Fractions ...

Simplifying Radicals With Variables, Exponents, Fractions ...

Simplifying algebraic fractions – Variation Theory

Simplifying algebraic fractions – Variation Theory

simplifying exponent expressions Math Worksheets, Math ...

simplifying exponent expressions Math Worksheets, Math ...

Worksheets for simplifying expressions

Worksheets for simplifying expressions

College Prep Algebra 2 Unit 4: Radical Expressions and ...

College Prep Algebra 2 Unit 4: Radical Expressions and ...

Keystone Algebra 1 - Simplifying Exponential Expressions

Keystone Algebra 1 - Simplifying Exponential Expressions

Properties of Exponents

Properties of Exponents

Simplifying Exponential Expressions - Practice Sheets ( 4 forms) - 32  problems

Simplifying Exponential Expressions - Practice Sheets ( 4 forms) - 32 problems

Equivalent Algebraic Expressions Worksheets

Equivalent Algebraic Expressions Worksheets

Simplifying Expressions with Rational Exponents

Simplifying Expressions with Rational Exponents

ALGEBRA 4B MULTIPLYING EXPONENTIAL TERMS worksheet

ALGEBRA 4B MULTIPLYING EXPONENTIAL TERMS worksheet

Bonus #3 Worth 10 Points .pdf - ID: 1 Keystone Algebra 1 Name ...

Bonus #3 Worth 10 Points .pdf - ID: 1 Keystone Algebra 1 Name ...

Simplifying Exponent Expressions - Ms. Fujie's Math Class

Simplifying Exponent Expressions - Ms. Fujie's Math Class

8th Grade Math; Unit 1 Lesson 6

8th Grade Math; Unit 1 Lesson 6

Simplifying Algebraic Expression Worksheets

Simplifying Algebraic Expression Worksheets

Evaluating Numerical Expressions with Exponents Worksheets

Evaluating Numerical Expressions with Exponents Worksheets

simplifying exponent expressions Math Worksheets, Math ...

simplifying exponent expressions Math Worksheets, Math ...

Simplify the Expressions Worksheets

Simplify the Expressions Worksheets

0 Response to "42 simplify exponential expressions worksheet"

Post a Comment

Iklan Atas Artikel

Iklan Tengah Artikel 1

Iklan Tengah Artikel 2

Iklan Bawah Artikel